Weniger Verkehr in Mühlacker

Archiv

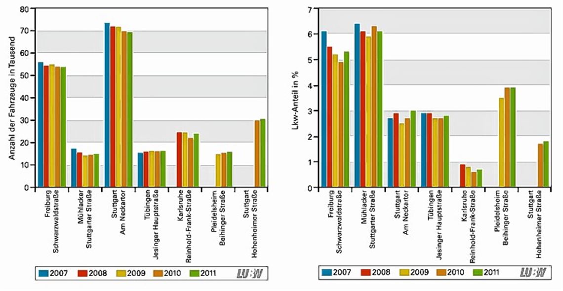
Landesanstalt: Zahl der Fahrzeuge auf der Stuttgarter Straße in fünf Jahren um 14 Prozent gesunken

Von einer deutlichen Abnahme des Verkehrs auf der Ortsdurchfahrt in Mühlacker – konkret: der Stuttgarter Straße – berichtet die Landesanstalt für Umwelt, Messungen und Naturschutz, die ihre Zahlen zur Verkehrsbelastung für das vergangene Jahr vorgelegt hat.

Statistik zur Verkehrsbelastung: Die Landesanstalt für Umwelt, Messungen und Naturschutz legt das Ergebnis ihrer Zählungen vor.

Statistik zur Verkehrsbelastung: Die Landesanstalt für Umwelt, Messungen und Naturschutz legt das Ergebnis ihrer Zählungen vor.

Mühlacker. Nach dem Ergebnis der (automatischen) Verkehrszählungen ist die Zahl der Fahrzeuge auf dem Teilstück der innerstädtischen B10 in fünf Jahren seit 2007 um knapp 14 Prozent auf, im Durchschnitt, 14900 Fahrzeuge täglich gesunken. Der Lkw-Anteil lag 2011 bei 6,1 Prozent.

Wir freuen uns, dass Sie sich für einen logo Artikel interessieren. Jetzt registrieren und weiterlesen.

  • Alle Webseiteninhalte
  • Inklusive aller logo Artikel
  • Jederzeit kündbar

Sie sind bereits Abonnent? Hier einloggen

Artikel empfehlen